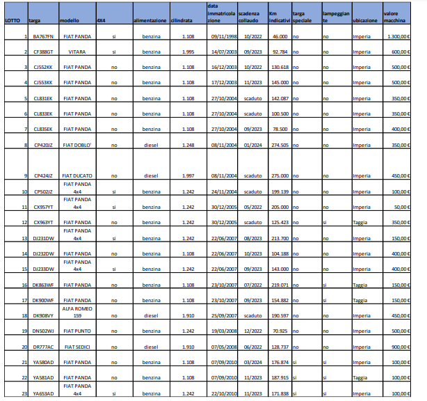
La Provincia di Imperia ha indetto, per il prossimo 12 luglio (ore 9.30 presso la sede dell’Amministrazione stessa, Viale Matteotti 147 Imperia) un’asta pubblica per la vendita di 23 veicoli (nella foto di copertina immagini di repertorio, non corrispondono ai mezzi in vendita).
Imperia: Provincia, 23 mezzi all’asta
I prezzi dei mezzi vanno da un minimo di 50 a un massimo di 1.300 euro. Tra le auto in vendita Fiat Panda 4×4, Fiat Ducato, Fiat Doblò, Fiat Sedici, una Suzuki Vitara e una Alfa Romeo 159.
“Gli automezzi – si legge nel bando – saranno posti in vendita, nello stato di fatto e di diritto, di uso e conservazione in cui si troveranno al momento dello svolgimento della gara e saranno comunque alienati nella forma ‘visto e piaciuto’ senza alcun tipo di garanzia o onere da parte dell’Amministrazione. L’Acquirente esonera l’Ente da qualsiasi responsabilità al riguardo a difetti occulti, apparenti e nonapparenti, o comunque derivanti dallo stato in cui si trovano i mezzi al momento dello svolgimento della gara”.
Sarà possibile visionare i mezzi tramite sopralluogo, previo appuntamento con l’Ufficio Autocentro dell’ Amministrazione Provinciale. La richiesta di sopralluogo potrà pervenire entro le ore 12.00 del giorno 06/06/2022.
L’elenco dei mezzi all’asta







